伴奏
原唱




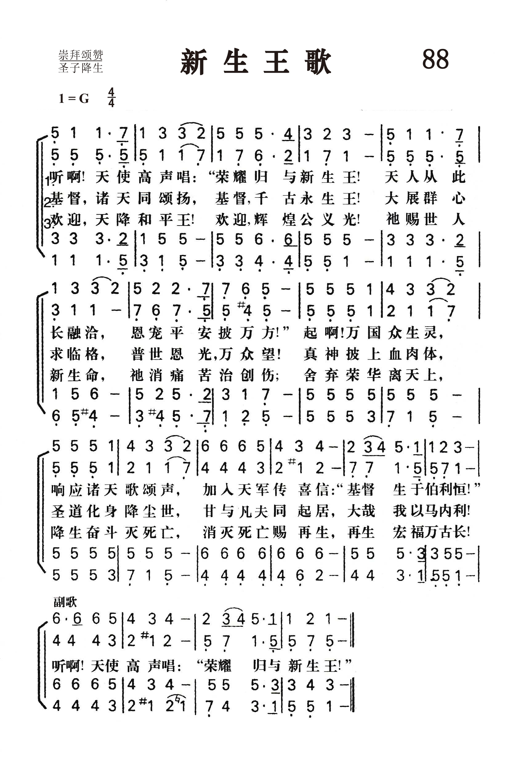
第88首新生王歌 Hark!The Herald Angels Sing 查理.卫斯利(见第51首介绍)作词(1839年),门德尔松(F.Mendelssohn,1809-1847)作曲(1840年),康明斯(William H.Cummings)改编(1850年),刘廷芳译(1930年) 听啊!天使高声唱:“荣耀归于新生王! 天人从此长融洽,恩宠平安披万方!” 起啊!万国众生灵,响应诸天歌颂声, 加入天军传喜讯:“基督生于伯利恒!” 基督,诸天同颂扬,基督,千古永生王! 大展群心求临格,普世恩光万众望, 真神披上血肉体,圣道化身降尘世, 甘与凡夫同起居,大哉我以马内利! 欢迎,天降和平王!欢迎,辉煌公义光! 祂赐世人新生命,祂消痛苦治创伤, 舍弃荣华离天上。降生奋斗灭死亡, 消灭死亡赐再生,再生洪福万古长! 听啊!天使高声唱:“荣耀归于新生王”。 这是一首家喻户晓的圣诞诗歌,词句优美,含义深刻。原诗共有十节,现在普遍采用的是三节。第一节歌颂神人和好,第二节赞美道成肉身,第三节欢呼和平之君、公义的太阳。 本诗曾有过好几个曲调。直到1855年,才普遍采用德国伟大的作曲家门德尔松所谱的曲。 门德尔松是犹太籍的基督徒,是一位与贝多芬,莫扎特,海顿等平名的音乐大师,38岁就英年早逝。他12岁就创作一首钢琴四重奏;20岁就组织演出几乎被人遗忘的巴赫作品《马太受难曲》。他一生写过许多宗教音乐,最著名的有清唱剧《伊莱贾》,《圣保罗》和《耶稣基督》(未完成)。这首《新生王歌》是门德尔松为印刷术发明400周年而写的《颂歌》(作品第68号)中第二乐章的主题,原为男声合唱,由铜管乐队伴奏。 《颂赞诗歌》502首《常住爱中》,570首《小鸟啼鸣》,《赞美诗》(506版)499首《全能圣天父》也是门德尔松作曲的。
88.新生王歌
发布时间: 浏览: 次 编辑:福三哥