发布时间: 浏览: 次 编辑:福三哥
伴奏
原唱





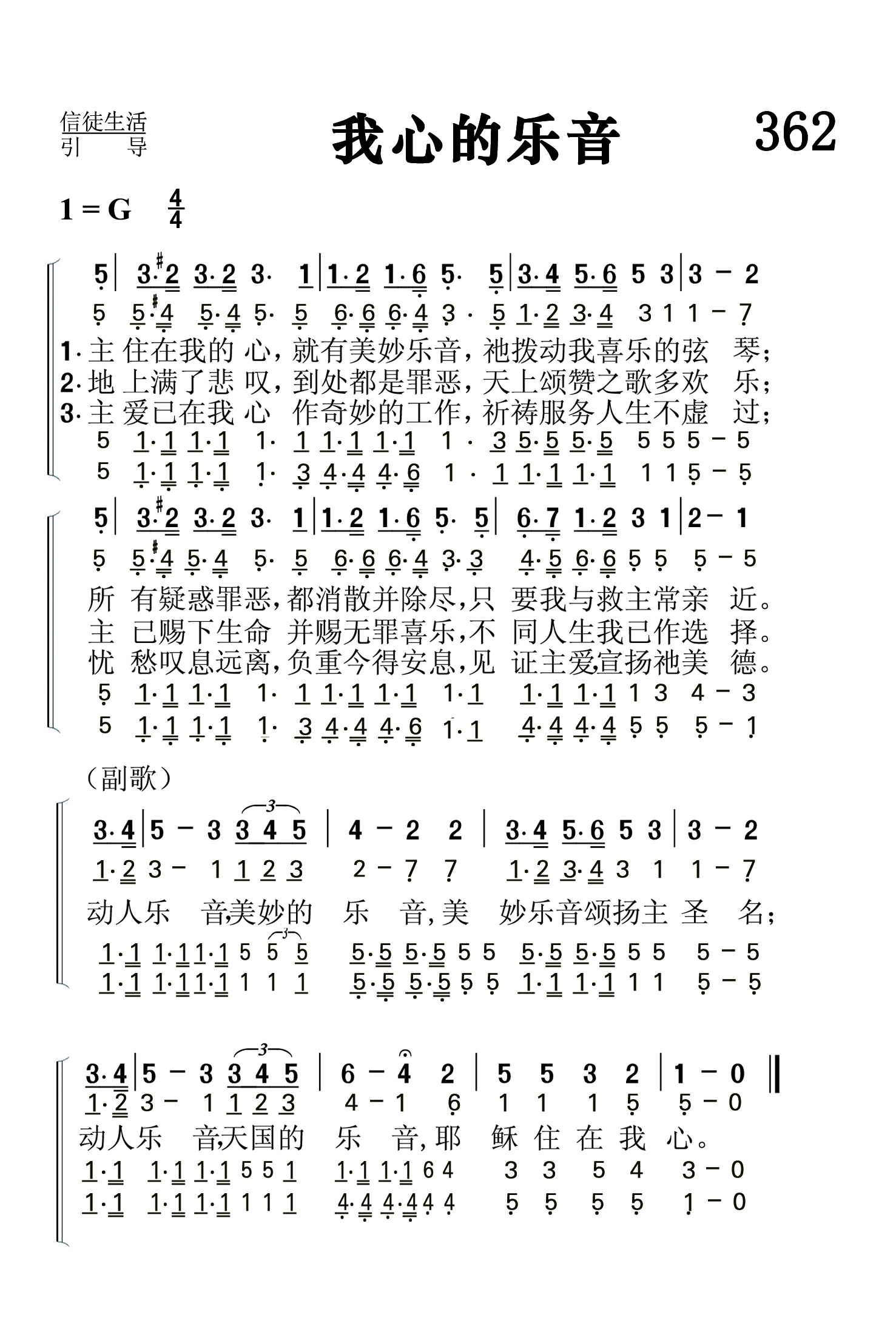
第362首 我心的乐音Music in My Soul 富兰克林.埃德森.贝尔登(Franklin.Edson.Belden,1858.3.21-1945.12.2)作词作曲,赵典仁、吴涤申合译 主住在我的心,就有美妙乐音,祂拨动我喜乐的弦琴; 所有疑惑罪恶都消散并除尽,只要我与救主常亲近。 地上满了悲叹,到处都是罪恶,天上颂赞之歌多欢乐; 主已赐下生命并赐无罪喜乐,不同人生我已作选择。 主爱已在我心作奇妙的工作,祈祷服务人生不虚过; 忧愁叹息远离负重今得安息,见证主爱宣扬祂美德。 动人乐音美妙的乐音.美妙乐音颂扬主圣名; 动人乐音天国的乐音,耶稣住在我心。 贝尔登是基督复临安息日会的创始人之一怀爱伦女士的外甥,出生在密歇根州的巴特尔克里克,8岁时全家迁往加利福尼亚州,在那里他开始创作音乐。他后来因呼吸问题而迁往科罗拉多州,但在30岁左右回到巴特尔克里克,加入《评论与通讯》出版社。他是该安息日会第一本赞美诗集的音乐编辑之一,曾担任《评论与通讯》杂志的主管。他创作了数百首安息日学诗歌和其他赞美诗,并且大部分是由他自己谱曲的。1907年,他因在诗歌集的出版和经营上与教会领袖产生误解而离开教会。1910年开始他为布道家比利.森迪写歌。但他临终时把他的作品文稿全部捐献给基督复临安息日会神学院。