伴奏
原唱




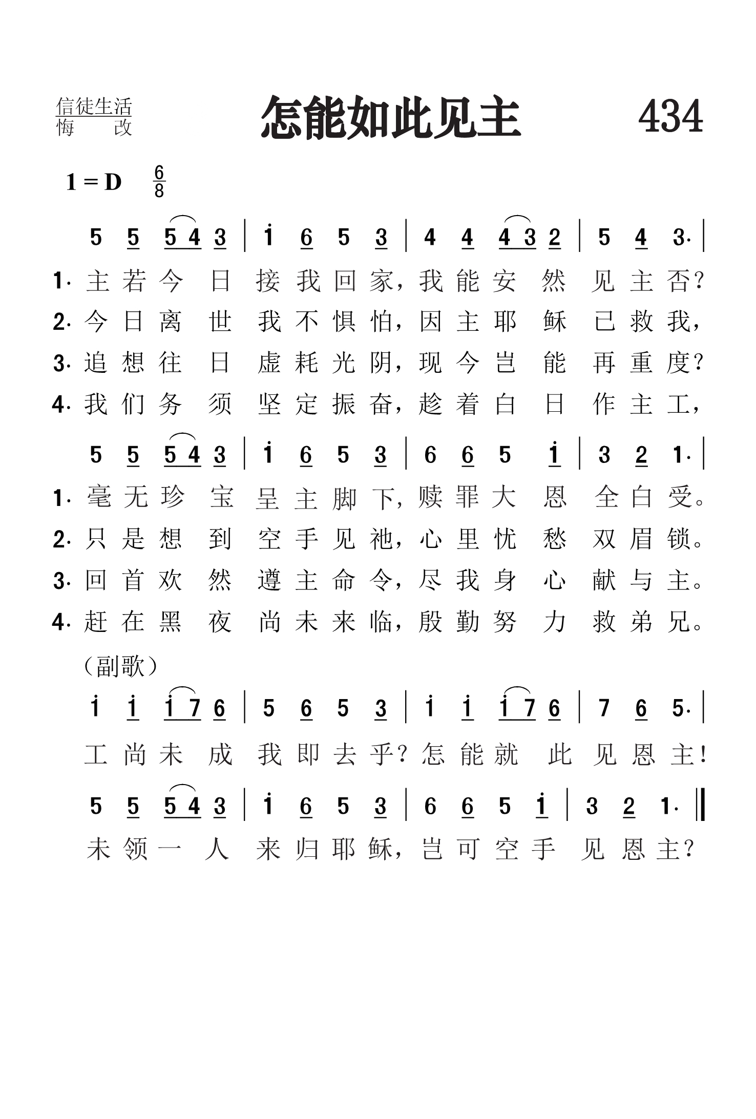
第434首 怎能如此见主Must I Go, and Empty-handed 查尔斯.路德(Charles C. Luther 1847,5,17-1924,11,4)作词,斯特宾斯(George C.Stebbins,1846,2,26-1945,10,6)作曲 主若今日节我回家,我能安然见主否? 毫无珍宝向主献呈,赎罪大恩全白受。 今若离世我不惧怕,因主耶稣已救我, 只是想到空手见祂,心里忧愁双眉锁。 追想往日虚耗光阴,现今岂能再重度? 回首欢然遵主命令,尽我身心献与主。 我们务须坚定振奋,趁着白日作主工, 赶在黑夜尚未来临,殷勤努力救弟兄。 工尚未成我即去乎?怎能如此见恩主! 未领一人来归耶稣,岂可空手见我主? 查尔斯.路德出生于美国麻萨诸塞州,1871年毕业于布朗大学,出事新闻采访和布道工作。1886年接受第一浸信会的牧者圣职。他一共写过25首圣诗,编过一本赞美诗集。本诗作于1878年。 据说有一次路德请布道家厄珀姆到他教会布道一周。厄珀姆在讲道时说,有一位信主多年而冷淡的信徒,重新悔改以后,就到处努力传扬福音,但仅过了一个月,就罹患重病。 临终时,牧师前去安慰他,为他祷告。 他对牧师说:“我并不怕死,因主巳救我,但我未领一人归主,难道我就这样空手去见主么?”路德听了这个故事以后深受感动,就写下了这首《怎能如此见主》。几天后把歌词交给斯特宾斯,由他谱上扣人心弦的曲调。 桑基曾为这首诗歌作过一个见证: 有一个放荡的青年,目中无神。一天早上无意中走进了教堂,听见会众们正在唱: “追想昔日虚耗光阴,现时岂能再重度?回首欢然遵主命令,尽我身心献与主。”他觉得十分扎心,匆匆离去。然而圣灵在他心中动工,令他坐立不安。 到了下午,他再度去那座教堂,走进一查经班,听到他们在唱:“我实甘愿竭力尽心,殷勤作工趁现在,黑夜巳深,白画将近,儆醒救人等主来。”这时,他大受感动,心如刀刺。 回家后,忏悔改过,诚心接纳基督为主。 曲作者斯特宾斯出生于美国纽约州的一个乡村,自幼喜爱音乐,13岁即进音乐学校学习,后到布法罗和纽约市继续深造。他23岁到芝加哥一个音乐商店工作,业余担任一个教堂唱诗班的指挥。1876年他随墓迪和桑基的布道团到过英国、印度、巴勒斯坦、埃及等地,以他的歌声为主作见证,并且多半是他自编自唱,收到了良好的效果。后来他将所谱的曲调和诗歌出版发行,使福音诗歌流传各地,备受欢迎。有人称他是福音诗歌的泰斗。他晚年所著《回忆录与福音圣诗的故事》,一方面作自传式的叙述,一方面收集其他福音诗歌作家的生平和故事,成为一部美好的见证。该书至今仍为研究圣诗的重要参考资料。 《颂赞诗歌》第222首《靠恩得救》,第306首《抛救生绳》,第409首《追求圣洁》,第423首《浪子回家》(1906年),第477首《主照你旨意》(1907年),第548首《我来就主耶稣》,567首《耶稣为我好朋友》和《赞美诗》(505版)第37首《黄昏求恩》也是斯特宾斯作曲的。
434.怎能如此见主
发布时间: 浏览: 次 编辑:福三哥