发布时间: 浏览: 次 编辑:福三哥
伴奏
原唱




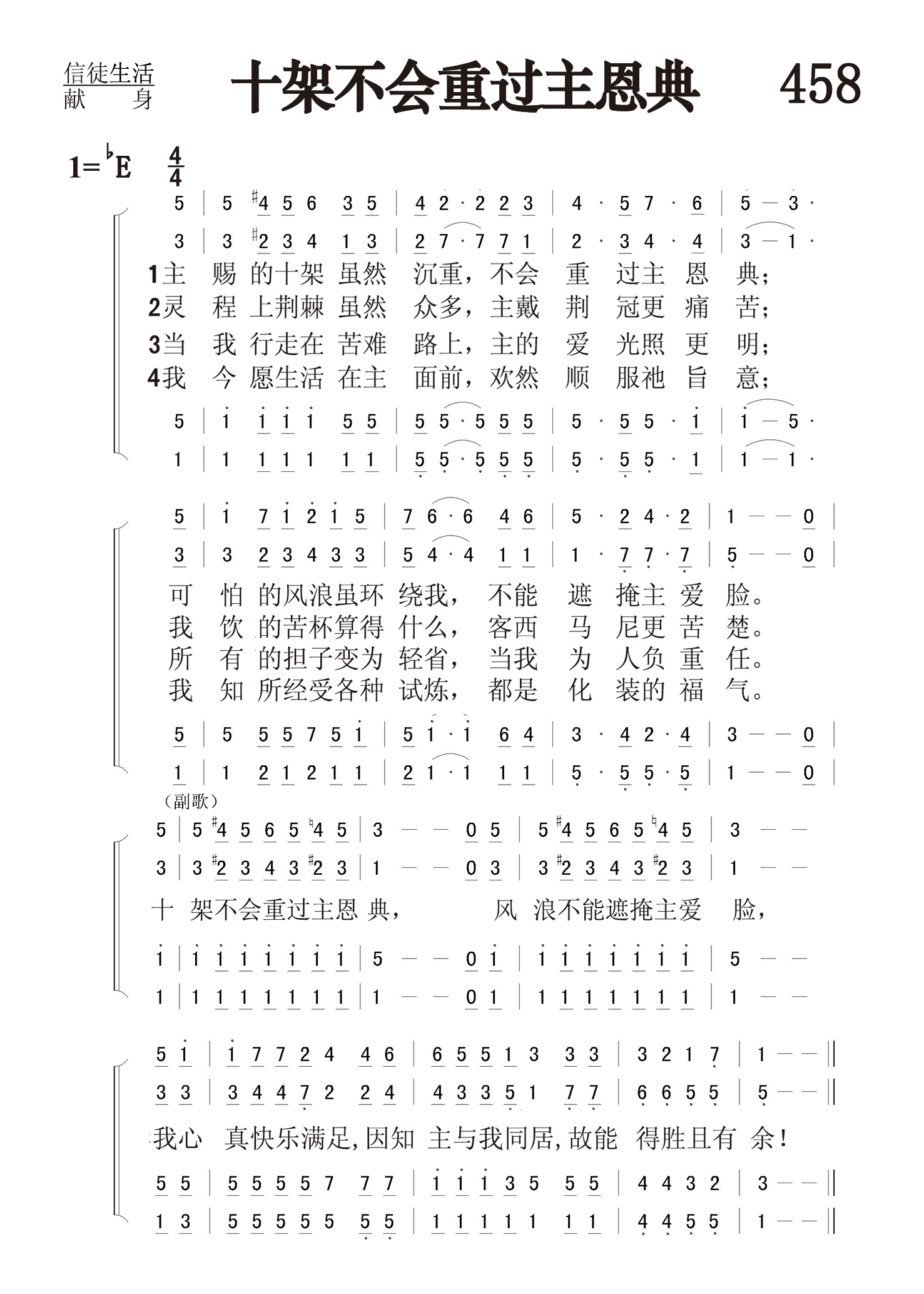
第458首 十架不会重过主恩典 The Cross Is not Greater 巴林顿.布思(Ballington Booth,1857,7,28-1940,10,5)作词作曲 主赐的十架虽然沉重,不会重过主恩典; 可怕的风浪虽环绕我,不能遮掩主圣颜。 灵程上荆棘虽然众多.主戴荆冠更痛苦; 我饮的苦杯算得什么,客西马尼更辛苦。 当我行走在苦难路上,主的爱光照更明; 所有的担子变为轻省,当我为人负重任。 我今愿生活在主面前,欢然顺服祂旨意; 我知所经受各种试炼,都是化装的福气。 十架不会重过主恩典,风浪不能遮掩主爱脸, 我心真快乐满足,因知主与我同住,故能得胜且有余! 巴林顿.布思出生于英国约克郡的布里格豪斯。1885-1887年,他任澳大利亚救世军的负责人。1887-1896年,他任美国救世军的负责人。1896年,他创建美国义勇军。